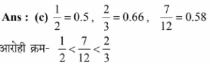
Aptitude | दशमलव भिन्ने (Decimal Fractions) | Online Test – 02 Leave a Comment / Math Aptitude / By admin 0% Rajasthan GK In HindiAptitude | दशमलव भिन्ने (Decimal Fractions) | Online Test - 02 1 / 201. निम्नलिखित में से कौन सा आरोही क्रम में है? 2/3, 3/4, 4/5, 1/2 3/3, 4/5, 1/2, 2/3 1/2, 2/3, 3/4, 4/5 4/5, 1/2, 2/3, 3/4 2 / 202. दिए गए भिन्न को उनके सही अवरोही क्रम में व्यवस्थित करें- 7/9, 11/47, 5/13, 24/29 24/29, 11/47, 7/9, 5/13 11/47, 5/13, 7/9, 24/29 24/29,7/9, 5/13, 11/47 3 / 203. दी गयी संख्याओं के लिए निम्नलिखित में से कौनसा आरोही क्रम सही है? 1/3, 1/5, 2/5 1/3, 2/5, 1/5 1/5, 1/3, 2/5 1/5, 2/5, 1/3 4 / 204. निम्न में से कौन सा आरोही क्रम में है 2/3,5/6,3/4 3/4,2/3,5/6 2/3,4/3,5/6 5/6,3/4,2/3 5 / 205. दी गयी संख्याओं में से किसका आरोही क्रम सही है? 5/8,19/24,11/16 11/16,5/8,19/24 5/8,11/16,19/24 19/24,11/16,5/8 6 / 206. दी गयी संख्याओं के लिए निम्नलिखित में से कौन सी सही है? 13/41 < 32/67 < 45/81 < 23/53 13/41 < 23/53 < 45/81 < 32/67 13/41 < 32/67 < 23/53 < 45/81 13/41 < 23/53 < 32/67 < 45/81 7 / 207. निम्नलिखित भिन्न अंको को आरोही क्रम में कीजियेः 11/17 < 41/63 < 3/7 < 21/29 41/63 < 3/7 < 21/29 < 11/17 3/7 < 11/17 < 41/63 < 21/29 3/7 < 11/17 < 21/29 < 41/63 8 / 208. दी गई संख्याओं में से किसका आरोही क्रम सही है? 1/2,2/3,7/12 7/12,2/3,1/2 1/2,7/12,2/3 2/3,1/2,7/12 9 / 209. दी गई संख्याओं में से किसका आरोही क्रम सही है। 1/3,3/4,5/8 5/8,3/4,1/3 1/3,5/8,3/4 3/4,1/3,5/8 10 / 2010. दिए गए भिन्नों के लिए सही आरोही क्रम कितना है? 22/7, 13/17, 11/19, 2/3 11/19, 2/3, 13/17, 22/7 2/3, 11/19, 13/17, 22/7 2/3, 13/17 11/19, 22/7 11 / 2011. दिए गए भिन्नों को सही आरोही क्रम में लिखें? 3/7 15/41, 19/35, 7/11 15/41, 3/7, 19/35, 7/11 3/7, 15/41, 7/11, 19/35 19/35, 7/11, 15/41, 3/7 12 / 2012. दी गई संख्याओं में से किसका आरोही क्रम सही है? 5/6,11/12,8/9 8/9,5/6,11/12 5/6,8/9,11/12 11/12,8/9,5/6 13 / 2013. निम्नलिखित में से कौन सा सांत दशमलव या टर्मिनेटिंग डेसिमल है? 1/32 1/24 1/96 1/48 14 / 2014. निम्नलिखित में से किस संख्या का शांत दशमलव प्रसार होगा? 57/120 47/150 61/110 43/140 15 / 2015. निम्नलिखित में से कौन सी संख्या का मान एक शांत दशमलव होगा? 9/45 6/45 3/45 12/45 16 / 2016. निम्नलिखित में से कौन सा अवसान दशमलव देगा? 12/72 6/72 9/72 3/72 17 / 2017. निम्नलिखित भिन्नों में से किसका मान आवर्ती दशमलव में नहीं आएगा? 20/56 25/56 10/56 21/56 18 / 2018. निम्नलिखित में से कौन सा विकल्प, आवर्ती दशमलव का उदाहरण है? 24/60 24/90 24/120 24/30 19 / 2019. निम्नलिखित में से कौन से साधारण भिन्न को दशमलव के रूप में लिखने पर उसका मान शांत दशमलव में प्राप्त नहीं होगा? 27/480 21/640 81/450 240/450 20 / 2020. निम्नलिखित में से कौन सी भिन्न एक सांत दशमलव होगी? 6/144 12/144 3/144 9/144 Your score is Facebook 0% Restart quiz