Aptitude | दशमलव भिन्ने (Decimal Fractions) | Online Test – 01

0%

Rajasthan GK In Hindi

Aptitude | दशमलव भिन्ने (Decimal Fractions) | Online Test - 01

1 / 20

1. निम्नलिखित में से सबसे बड़ी भिन्न को ज्ञात कीजिए। 5/6 6/11, 2/3, 8/9, 6/7

 

2 / 20

2. 2/3, 3/4, 4/5 और 5/6 में से सबसे बड़ी और सबसे छोटी भिन्न का अंतर ज्ञात कीजिए।

 

3 / 20

3. निम्नलिखित में से कौन-सा सबसे बड़ा है?

 

4 / 20

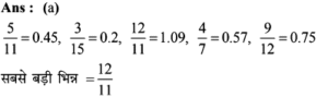
4. निम्नलिखित में से सबसे बड़ी भिन्न को ज्ञात कीजिए।

5/11, 3/15, 12/11, 4/7, 9/12

 

5 / 20

5. निम्नलिखित में से कौन सी भिन्न सबसे बड़ी है?

 

6 / 20

6. निम्नलिखित अनुपातों को घटते क्रम में लगाये, कौन सी संख्या आखिरी होगी?

11:14, 17:21, 5:7, 2:3

 

7 / 20

7. निम्नलिखित में सबसे न्यूनतम कौन सा है?

3/4, 3/5, 3/8, 3/11

 

8 / 20

8. निम्नलिखित में से सबसे न्यूनतम भिन्न कौन सी है?

 

9 / 20

9. निम्नलिखित में से कौन-सी भिन्न सबसे बड़ी है?

 

10 / 20

10. 5/8 3/4, 1/16, 7/12 में से सबसे छोटी भिन्न क्या हैं।

 

11 / 20

11. निम्नलिखित में से कौन सी भिन्न सबसे छोटी है?

 

12 / 20

12. निम्नलिखित भिन्नों को अवरोही क्रम में व्यवस्थित कीजिए।

5/6 3/7, 8/9, 3/14

 

13 / 20

13. निम्न में से कौन सी भिन्नें अवरोही क्रम में है?

 

14 / 20

14. निम्नलिखित में से कौन सा आरोही क्रम में है?

 

15 / 20

15. दी गयी संख्याओं के लिए निम्नलिखित में से कौन-सा सत्य है?

 

16 / 20

16. निम्नलिखित में कौन सा अवरोही क्रम (descending order) में है?

 

17 / 20

17. दी गयी संख्याओं के लिए निम्न में से कौन सा सही है?

 

18 / 20

18. दी गयी संख्याओं के लिए निम्नलिखित में से कौन सा सही है?

 

19 / 20

19. दी गई संख्याओं के लिए निम्नलिखित में से कौन सा सही है?

 

20 / 20

20. दी गई संख्याओं के लिए निम्नलिखित में से कौन सा सही है?

 

Your score is

0%

Leave a Comment

Your email address will not be published. Required fields are marked *