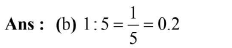
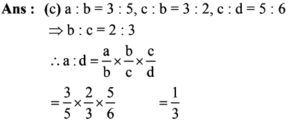
Aptitude | अनुपात समानुपात (Ratio & Proportion) | Online Test – 02 Leave a Comment / Math Aptitude / By admin 0% Rajasthan GK In HindiAptitude | अनुपात समानुपात (Ratio & Proportion) | Online Test - 02 1 / 201. 1:5 के अनुपात को दशमलव में कैसे दर्शाया जा सकता है? 0.5 0.2 0.02 0.1 2 / 202. लाल, हरे और गुलाबी टोकन वाले बैग में, लाल रंग के टोकनों का हरे टोकनों के साथ अनुपात 5:12 है जबकि गुलाबी टोकनों का लाल टोकनों के साथ 7:15 का अनुपात था। हरे टोकनों का गुलाबी टोकन के साथ क्या अनुपात था? 25:28 36:7 28:25 12:7 3 / 203. मिश्रण में रेत के साथ बजरी का अनुपात 17 : 8 है जबकि बजरी और सीमेंट का अनुपात 6 : 17 है। मिश्रण में रेत के साथ सीमेंट का क्या अनुपात है? 17:17 289:48 8:6 3:4 4 / 204. यदि a:b= 3/2:7/3 और b:c= 1/5 : 1/7 है, तो a:b:c ज्ञात कीजिए। 14:9:10 4:5:7 9:14:10 10:9:14 5 / 205. a:b=7:9, b : c = 5/11 तो a : b : c = ? कोई भी नहीं 99:45:35 45:35:99 35:45:99 6 / 206. यदि a : b = 3 : 5 , c: b = 3 :2, c: d = 5 : 6 है, तो a: d = ? 12:36 12:15 1:3 11:36 7 / 207. 3,900 को L, K और J के बीच 1/2 : 1/3 : 1/4 के अनुपात में विभाजित करने पर K को कितनी राशि प्राप्त होगी? 1,450 30 1,200 900 8 / 208. एक मिश्र धातु, जर्मन सिल्वर में तांबे और जस्ते का अनुपात 21 : 16 था, जबकि निकिल और जस्ते का अनुपात 7 :24 था। मिश्र धातु में तांबा : जस्ता : निकिल का अनुपात क्या था? 63:48:14 21:6:7 17:21:4 68:28:21 9 / 209. जर्मन चांदी की एक मिश्र धातु में तांबे और जस्ते का अनुपात 19:6 था, जबकि निकल और जस्ते का अनुपात 7:4 था। मिश्र धातु में ताँबा, जस्ता और निकल का अनुपात कितना था? 19:44:4 19:24:7 38:12:21 133:42:24 10 / 2010. जर्मन सिल्वर की किसी मिश्रित धातु में तांबे से जस्ते का अनुपात 17 : 7 था जबकि निकल से जस्ते का अनुपात 4 : 3 था। मिश्रित धातु में तांबे से जस्ते से निकल का क्रमशः अनुपात कितना था? 17:21:4 51:21:28 68:28:21 17:28:3 11 / 2011. जर्मन सिल्वर में कॉपर, जिंक और निकिल का अनुपात 4:3:2 है। 54 किलोग्राम की इस धातु में कितने किलोग्राम जिंक जोड़ा जाए कि नया अनुपात 2: 5:1 हो जाए? 50 48 36 42 12 / 2012. यदि a = 2b/3, b = 2c/3 तथा c = 2d/3 है, तो b तथा d का अनुपात ज्ञात कीजिए। 8/9 4/9 4/3 5/27 13 / 2013. 3 विषयों में एक छात्र द्वारा प्राप्त अंको का अनुपात 1:2:3 है। स्कूल ने प्रत्येक विषय के लिए 5% ग्रेस अंक देने का फैसला किया है। छात्र के नए अनुपात का पता लगाएं। 1:2:3 2:3:4 2:3:1 3:2:1 14 / 2014. 169 को 2:5:6 के अनुपात में विभाजित करें। उपरोक्त अनुपात के अनुसार उनका रूपए में हिस्सा कितना होगा? 26, 66, 77 26, 65, 78 25, 67, 78 26, 70, 73 15 / 2015. दो धनात्मक पूर्णाकों का अनुपात 3 : 4 है। उनका योगफल 70 है। प्रत्येक पूर्णांक में कितना जोड़ा जाना चाहिए कि उनका अनुपात 5 : 6 हो जाए? 10 20 30 40 16 / 2016. दो संख्याओं का अनुपात 3:5 है। यदि प्रत्येक संख्या में 10 की वृद्धि की जाए, तो अनुपात 5:7 हो जाता है। छोटी संख्या है- 8 12 15 18 17 / 2017. चरण और रजत का वेतन 5:4 के अनुपात में है। यदि प्रत्येक के वेतन में 3,000 की वृद्धि होती है, तो नया अनुपात 6:5 हो जाता है। चरण का वेतन क्या है? 15,000 12,000 8,000 20,000 18 / 2018. दो संख्याओं के बीच का अनुपात 5:9 है। यदि दोनों संख्याओं में 6 जोड़ा जाता है, तो उनके बीच का अनुपात 2 : 3 हो जाता है। वे मूल संख्याएं हैं। 25, 45 10, 18 15,27 5,9 19 / 2019. एक संख्या को 7: 11 के अनुपात में विभाजित किया गया था। जब प्रत्येक संख्या में 6 जोड़ा गया तो अनुपात बदल कर 5 : 7 हो गया। प्रारंभिक संख्याओं में से बड़ी संख्या कितनी थी? 22 11 33 44 20 / 2020. दो नंबरों के बीच का अनुपात 11:18 है। यदि दोनों नंबरों में 4 को जोड़ा जाता है, तो उनके बीच का अनुपात 13:20 बन जाता है। मूल नंबर ........ हैं। 21,36 26,21 22,36 32,23 Your score is Facebook 0% Restart quiz