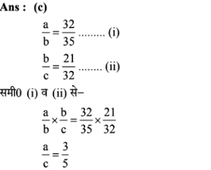
Aptitude | अनुपात समानुपात (Ratio & Proportion) | Online Test – 01 Leave a Comment / Math Aptitude / By admin 0% Rajasthan GK In HindiAptitude | अनुपात समानुपात (Ratio & Proportion) | Online Test - 01 1 / 201. 3 दिन का 30 घंटे के साथ अनुपात ज्ञात कीजिए। 7:6 12:5 6:7 5:12 2 / 202. निम्नलिखित में से कौन-सा अनुपात सबसे बड़ा है? 5:7 2:3 3:4 3:5 3 / 203. एक थैले में लाल, हरे और गुलाबी टोकन थे। लाल और हरे टोकनों के बीच अनुपात 15: 32 था जबकि गुलाबी और लाल टोकनों के बीच अनुपात 18: 25 था। हरे और गुलाबी टोकनों के बीच कितना अनुपात था? 80: 27 192: 125 16:9 25:28 4 / 204. तुलिप और देवांश के पास जो कंचे थे उनकी संख्या का अनुपात 7 : 9 था जबकि शीतल और देवांश के पास कंचों की संख्या का अनुपात 7 : 15 था। तुलिप और शीतल के पास उपलब्ध कंचों की संख्या का अनुपात बताएं। 5:3 5:7 7:5 2:3 5 / 205. यदि a : b = 32 : 35 है तथा b: c = 21 : 32 है, तो a : c क्या होगा ? 1:1 5:7 3:5 5:3 6 / 206. दो संख्याएं तीसरी संख्या से क्रमशः 30% और 60% अधिक हैं। दोनों संख्याओं का अनुपात ___ है। 14:13 16:13 22:23 13:16 7 / 207. एक मिश्रण में रेत और रोड़ी का अनुपात 41 : 30 है, जबकि रोड़ी और सीमेंट का अनुपात 6: 7 है। मिश्रण में रेत और सीमेंट का अनुपात क्या है? 8:6 11:7 77: 48 41: 35 8 / 208. एक थैली में लाल, हरे एवं गुलाबी रंग के टोकन रखे गए हैं, लाल एवं हरे टोकन का अनुपात 5:11 है जबकि गुलाबी एवं लाल टोकन का अनुपात 7:15 है। हरे एवं गुलाबी टोकन का अनुपात कितना होगा? 77:75 11:7 33:7 75:77 9 / 209. यदि A: B = 5 : 8 और B : C = 18 : 25 तो A : C ज्ञात करें। 8:5 9:20 5:8 20:9 10 / 2010. एक मिश्रण में मिट्टी और बजरी का अनुपात 11:8 है, जबकि बजरी और सीमेंट का अनुपात 6:7 है। मिश्रण में मिट्टी और सीमेंट का अनुपात कितना है? 77:48 33:28 8:6 11:7 11 / 2011. यदि a : b का अनुपात 45: 56 है और b: c का अनुपात 16: 35 है, तो a: c का अनुपात क्या होगा? 9:7 18:49 7:2 7:9 12 / 2012. सूरज की धनराशि रवि की धनराशि की चार गुनी है। रवि की धनराशि आदित्य की धनराशि की सोलह गुनी है। आदित्य और सूरज की धन राशियों का अनुपात क्या है? 64:1 1:64 1:24 1:16 13 / 2013. यदि a : b = 2 : 3 और a: c = 10 : 21, तो b : c क्या है? 5:7 15:14 14:15 7:5 14 / 2014. यदि L : M = 3:5 और M : N = 2:3 है, तो N:L = ? 2:1 5:2 3:2 1:2 15 / 2015. यदि A : B = 2:5 तथा B : C= 3:4 है तो A : C कितना होगा? 1:2 3:10 2:3 5:4 16 / 2016. दो संख्याएँ एक तीसरी संख्या से क्रमशः 40% तथा 60% ज्यादा है। प्रथम संख्या का द्वितीय संख्या से अनुपात क्या है? 7:9 8:9 8:7 7:8 17 / 2017. यदि A : B = 3:4 है और B : C = 6 : 5 है तो A: (A + C) क्या होगा? 9:11 9:10 9:19 6:7 18 / 2018. यदि a / b = 1/4 , b /c = 1/ 8 और a = 2 है, तो c का मान है: 8 16 32 64 19 / 2019. जोई और मिनित के कंचो की संख्या का अनुपात 5:8 है जबकि जैकब और मिनित के कंचों का अनुपात 7:12 है। जोई और जैकब के कंचों का अनुपात क्या है? 7:5 2:3 15:14 5:7 20 / 2020. किसी मिश्रण में रेत और बजरी का अनुपात 7:8 है जबकि बजरी और सीमेंट का अनुपात 6:7 है। मिश्रण में रेत और सीमेंट का अनुपात क्या है? 49:48 7:7 8:6 3:4 Your score is Facebook 0% Restart quiz