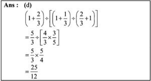
Aptitude | सरली कारण ( Simplification ) | Online Test – 06 Leave a Comment / Math Aptitude / By admin 0% Rajasthan GK In HindiAptitude | सरली कारण ( Simplification ) | Online Test - 06 1 / 201. 0.00025 ÷ 12.5 = ? 0.0025 0.00002 0.0002 0.000002 2 / 202. 3.24 ÷ 0.002 = का मान ज्ञात कीजिए। 16.20 1620 162 1.620 3 / 203. (1 + 2/3) ÷ [(1 + 1/3) ÷ (2/3 + 1)] =? 4/3 3/4 12/25 25/12 4 / 204. हल करें (0.25 × 0.004) + 0.374 - 0.72 =? -0.345 0.325 1.94 -0.945 Ans: (a) (0.25 × 0.004) + 0.374 - 0.72 = 0.001-0.346 = -0.3455 / 205. 0.00056 ÷ 0.07 की गणना कीजिए। 0.08 0.008 0.0008 0.8 6 / 206. (3/2 + 5/3) ÷ (3/2 + 2/3) को सरल करो। 1 19/13 13/19 13/16 7 / 207. (2/5 + 2/9) ÷ (2/5 + 5/9) को सरल कीजिए। 28/45 28/43 27/34 7/17 8 / 208. (2/9 + 3/5) ÷ (2/9 + 2/5) को सरल कीजिए। 37/28 47/43 43/47 41/47 9 / 209. 0.08 × 0.23 ÷ 0.004 का मान ज्ञात करें 46 4.6 0.046 0.0046 10 / 2010. 0.55 × 0.81/4.5 =? 0.99 0.099 9.9 0.0099 11 / 2011. सरल कीजिए :(2/3 + 3/5) ÷ (2/3 + 2/5) 1 19/16 15/16 13/16 12 / 2012. सरल करें- √12 × √27 4√3 3√4 18 9 13 / 2013. 73 × 73 + 42 × 42 - 2 × 73 × 42 का मान ज्ञात कीजिए। 961 676 981 861 14 / 2014. (0.2 × 0.2 × 0.2)×(0.06 × 0.06 × 0.06) ÷(0.12×0.12 × 0.12)=? 0.008 0.001 0.002 0.006 15 / 2015. 140 ÷ [61 - {36 - (40 - 60 ÷ 12 × 6)}] = 2 5 4 10 Ans. (c) = 140 ÷ [61 - {36 - (40 - 60 ÷ 12 × 6)}]= 140 ÷ [61 - {36 - (40 - 5 × 6)}] = 140 ÷ [61 - {36 - (10)}] = 140 ÷ [61 - 26] = 140 ÷ 35 = 416 / 2016. 144 ÷ [40- { 37-(25-112 ÷ 7 × 4 )}] 4 8 2 6 Ans. (d) : 144 ÷ [40- { 37-(25-112 ÷ 7 × 4 )}] = 144 ÷ [40 - {37 - (25 - 112 ÷ 28)}] = 144 ÷ [40 - {37 - (25 - 4)}] = 144 ÷ [40 - {37 - 21}] = 144 ÷ [40 - 16] = 144 ÷ 24 = 617 / 2017. निम्न हल करें-24 ÷ (19 - 9 ÷ 3 × 9) = -3 3 4 6 Ans: (a) 24 ÷ (19 - 9 ÷ 3 × 9) = 24 ÷ (19 - 3 × 9) = 24 ÷ (19 - 27) = 24 ÷ (- 8) =-318 / 2018. 467 × 467 + 166 × 166 - 2 × 467 ×166 = समीकरण को सरल करें 90106 960600 90601 90060 19 / 2019. 97 × 97 =? 9391 9409 9049 9309 20 / 2020. निम्नलिखित का मान ज्ञात करें-(250 x 250 x 250 + 150 × 150 × 150)/(250×250-250 × 150 + 150 × 150 )=? 40000 400 40 500 Your score is Facebook 0% Restart quiz