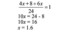
Aptitude | कार्य एवं समय (Work and Time) | Online Test – 04 Leave a Comment / Math Aptitude / By admin 0% Rajasthan GK In HindiAptitude | कार्य एवं समय (Work and Time) | Online Test - 04 1 / 201. E तथा F मिलकर एक कार्य को 10 दिनों में कर सकते है। यदि E अकेला उसी कार्य को 30 दिनों में कर सकता है, तो बताएं कि F अकेला उसी कार्य को कितने दिनों में कर सकता है? 15 20 25 18 2 / 202. P और Q एक साथ एक काम 12 दिनों में पूरा कर सकते हैं। P अकेला यही काम 30 दिनों में करता है। Q अकेला इसी काम को कितने समय में पूरा कर लेगा? 20 दिन 30 दिन 25 दिन 35 दिन 3 / 203. संजू एक काम को 16 दिनों में समाप्त कर देती है। यदि वह अपनी मित्र जेनी के साथ काम करती है तो काम 12 दिनों में समाप्त हो जाता। जेनी को अकेले वही काम समाप्त करने में कुल कितने दिन लगेंगे। 48 32 36 24 4 / 204. P कार्य करने में Q से दोगुना सक्षम है। दोनों एक साथ मिलकर एक काम को 22 दिनों में पूरा करते है। Q अकेला इस काम को पूरा करने के लिए कितना समय लेगा? 33 दिन 22 दिन 66 दिन 99 दिन 5 / 205. मनोज, अनुराग से दोगुना सक्षम मछुआरा है तथा दोनों मिलकर एक कार्य को 22 दिनों में समाप्त करते है। अनुराग अकेला उसी कार्य को कितने दिनों में पूरा करेगा? 44 66 88 60 6 / 206. उल्लास की काम करने की क्षमता तेजस से दोगुनी है।। वे एक साथ एक काम को 18 दिन में समाप्त कर सकते है, तो तेजस उसी काम को अकेला कितने दिन में पूरा करेगा? 36 54 29 72 7 / 207. यश, विवेक से दुगुना सक्षम ड्राफ्टमैन है तथा वे मिलकर एक काम को 23 दिनों में समाप्त करते हैं। विवेक अकेला उसी कार्य को कितने दिनों में पूरा करेगा? 46 69 92 60 8 / 208. हिमांशू एक लकड़हारे के रूप में अंकित से दोगुना सक्षम है तथा वे मिलकर एक काम को 16 दिनों में समाप्त करते हैं। अंकित अकेला उसी काम को कितने दिनों में पूरा करेगा? 32 48 64 40 9 / 209. एक नाविक के रूप में अनिरूद्ध, अश्विन से दोगुना तेज है तथा वे मिलकर एक काम को 14 दिनों में समाप्त करते हैं। अकेला अश्विन कार्य को कितने दिनों में पूरा कर पायेगा? 28 42 56 35 10 / 2010. P और Q एक कार्य को क्रमशः 12 दिनों और 16 दिनों में पूरा कर सकते हैं। वे एक साथ 4 दिन तक काम करते हैं। कार्य का कितना भाग शेष रह जाता है? 3/4 7/12 5/12 6/7 11 / 2011. अजय और विजय किसी काम को क्रमश: 70 और 60 दिनों में कर सकते है। वे एक साथ काम करना शुरु करते है और कुछ समय बाद, अजय काम छोड़ देता है। विजय ने शेष काम को 47 दिनों में पूरा किया। अजय ने काम कब छोड़ा था? 7 दिन बाद 14 दिन बाद 10 दिन बाद 8 दिन बाद 12 / 2012. A किसी काम को 30 दिन में और B उसी काम को 20 दिन में समाप्त कर सकता है। A और B 6 दिन काम को साथ मिलकर करते हैं, और उसके बाद A काम छोड़कर चला जाता है। शेष बचे काम को B कितने दिनों में पूरा करेगा? 15 दिन 16 दिन 10 दिन 18 दिन 13 / 2013. अकेले काम करते हुए राकेश और रंजीत क्रमशः 4 और 6 दिनों में एक कार्य पूरा कर सकते हैं। रंजीत ने अकेले काम शुरू किया और राकेश 2 दिनों के बाद इसमें शामिल हुआ। शेष कार्य को पूरा करने के लिए उन्हें कितने दिन की आवश्यकता होगी? 1.6 2 0.8 1.2 14 / 2014. 18 व्यक्ति किसी काम को 12 दिनों में पूरा कर सकते हैं। काम के 4 दिन बाद, 2 श्रमिकों ने काम छोड़ दिया। श्रमिकों द्वारा काम छोड़ने के बाद से शेष काम कितने दिनों में पूरा होगा? 8 6 9 10 15 / 2015. 800 आदमी किसी काम को 30 दिन में पूरा करते हैं। 12 दिन काम करने के बाद 80 आदमी काम छोड़ देते हैं। बाकी बचे लोगों द्वारा शेष काम को कितने दिन में पूरा किया जा सकता है? 22 20 28 24 16 / 2016. रंजीत किसी कार्य को 25 दिन में पूरा कर सकता है जबकि अंजी इसे 20 दिन में समाप्त कर सकता है। वे 5 दिन तक एक साथ कार्य करते हैं और फिर रंजीत छोड़ देता है। अंजी शेष काम को खत्म करने में कितने दिन लगाएगा? 10दिन 9दिन 11दिन 15दिन 17 / 2017. S और T एक काम को 50 दिनों में पूरा कर सकते है। उन्होंने 20 दिनों तक साथ काम किया और उसके बाद छोड़ दिया। बताइये कितना काम बाकी रह गया है? 3/5 1/3 1/2 2/5 18 / 2018. X, 4 मिनट में 60 पृष्ठों की प्रतिलिपि कर सकता है, X तथा ४ दोनों मिलकर 30 मिनट में 750 पृष्ठों की प्रतिलिपि कर सकते है। Y कितने मिनट में 100 पृष्ठों की प्रतिलिपि कर सकता है? 8 16 10 5 19 / 2019. A एक काम का 2/5 भाग X दिनों में पूरा करता है। इसके बाद वह B को बुलाता है और वे एक साथ मिलकर 6 दिनों में शेष काम को समाप्त कर देते है। यदि B अकेले 100/6 दिन लेता है, तो X का मान ज्ञात कीजिए। 10 दिन 50/3 दिन 20 दिन 40 दिन 20 / 2020. P और Q 12 दिनों में, Q और R 15 दिनों में, R और P 20 दिनों में एक काम को पूरा कर सकते है। वे एक साथ मिलकर इस काम को कितने दिनों में कर सकते है? 10 12 5 14 Your score is Facebook 0% Restart quiz