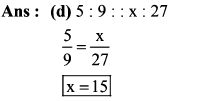
Aptitude | अनुपात समानुपात (Ratio & Proportion) | Online Test – 06 Leave a Comment / Math Aptitude / By admin 0% Rajasthan GK In HindiAptitude | अनुपात समानुपात (Ratio & Proportion) | Online Test - 06 1 / 201. यदि तीन संख्याएँ 4:5:7 के अनुपात में है, और उनका योग 320 है। इनमें से सबसे छोटी तथा सबसे बड़ी संख्या का योगफल ज्ञात कीजिए। 140 220 240 180 2 / 202. यदि तीन संख्यााएँ 1 : 3 : 5 के अनुपात में है तथा उनका योग 10,800 है, तो तीनों में से सबसे बड़ी संख्या ज्ञात कीजिए। 1200 3600 6000 5400 3 / 203. यदि एक चतुर्भुज के कोणों का अनुपात 3 : 5 : 9 : 13 है, तो सबसे बड़ा कोण ज्ञात कीजिये ? 165° 180° 156° 190° 4 / 204. यदि एक त्रिभुज के कोणों का अनुपात 2:3:7 है, तो बड़े कोण का सबसे छोटे कोण से अनुपात ज्ञात कीजिए। 7:2 2:3 7:1 3:5 5 / 205. यदि एक त्रिभुज के कोणों का अनुपात 1 : 2 : 3 है, तो सबसे छोटा कोण ज्ञात करें? 30° 60° 70° 45° 6 / 206. यदि एक त्रिभुज के कोणों का अनुपात 1 : 4 : 7 है, तो सबसे बड़े कोण का सबसे छोटे कोण से अनुपात ज्ञात कीजिए। 7:2 2:3 7:1 3:5 7 / 207. 176 को 2:56 9 के अनुपात में विभाजित किया जाए, तो रूपये उनके संबंधित अनुपात में होंगे- 16, 40, 49 और 71 16, 40, 47 और 73 16, 40, 48 और 72 16, 41, 47 और 72 8 / 208. रितेश, गौरव और जूगनू 2:5:7 के अनुपात में निवेश करते है। उनके निवेश की वापसी के बाद आय का अनुपात 5:3:2 है। यदि गौरव रितेश से 150 रुपये से अधिक कमाता है, तो कुल आय ज्ञात कीजिए। 1170 1050 1240 1370 9 / 209. माँ ने अपने बच्चों अरविन्द, बिनु और चित्रा को अनुपात 2:3:4 में कुछ धनराशि बाँटी। यदि बिनु को 51 प्राप्त हुए, तो चित्रा और अरविन्द द्वारा प्राप्त धनराशि क्रमशः कितनी थी? 34, 102 85,34 68,34 68, 136 10 / 2010. यदि 12, x, 48 एक क्रमागत अनुपात में है तो x का मान ज्ञात कीजिए ? 24 21 36 16 11 / 2011. x: 1/18 :: 3/5: 5/9 में x का मान ज्ञात कीजिए 4/25 3/50 3/25 7/9 12 / 2012. किसी अनुपात के पहले तीन पद क्रमश: 3,5 और 21 हैं। इसके चौथे पद को ज्ञात कीजिए। 25 35 30 20 13 / 2013. चार संख्याओं 4, 8, 12, 22 को समानुपातिक बनाने के लिए प्रत्येक में निम्न में से क्या जोड़ा जाना चाहिए? 4/3 3/4 8/3 5/6 14 / 2014. यदि 25, 35 और p क्रमिक अनुपात में हैं, तो p का मान ज्ञात कीजिए। 60 50 75 49 15 / 2015. 3, 4 और 9 __ चौथा अनुपातिक ज्ञात करें। 11 12 16 10 16 / 2016. यदि 5 : 9 :: x : 27 है, तो x = ? 6 3 18 15 17 / 2017. यदि p : 18 :: 5 : 3 हो, तो p का मान क्या होगा? 60 30 25 50 18 / 2018. यदि 7 : 9 : : x : 36 हो, तो x = ? 21 35 7 28 19 / 2019. 2, 4, 8 के पश्चात चौथी अनुपात संख्या को ज्ञात करें:- 15 14 16 18 20 / 2020. तीन संख्याएँ 2.6, 1.3 तथा X एक निश्चित अनुपात में है। तब X का मान ज्ञात कीजिए। 1.95 1.83 3.9 0.65 Your score is Facebook 0% Restart quiz