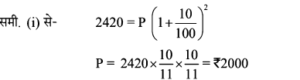
चक्रवृद्धि ब्याज (Compound interest) | Online Test – 01 Leave a Comment / Math Aptitude / By admin 0% Rajasthan GK In Hindiचक्रवृद्धि ब्याज (Compound interest) | Online Test - 01 1 / 201. रुपए 2000, 40% की दर से वार्षिक चक्रवृद्धि ब्याज की दर पर तीसरे वर्ष के लिए ब्याज की राशि ज्ञात कीजिए 1500 1600 1568 1750 2 / 202. रुपए 16400 की राशि उधार ली जाती है और इसे 5% चक्रवृद्धि ब्याज की दर से समान वार्षिक किश्तो में 2 वर्षों में चुकाया जाना है। वार्षिक भुगतान की राशि ज्ञात कीजिए । 7590 7495 7600 8820 3 / 203. एक महिला प्रत्येक वर्ष के प्रारंभ में 5% चक्रवृद्धि ब्याज दर पर रुपए 200 का निवेश किया। दूसरे वर्ष के अन्त में उसकी कुल निवेश राशि हो जाएगी। 431 430.5 435 430 4 / 204. किसी निश्चित धनराशि को चक्रवृद्धि ब्याज पर निवेश किया गया, 2 वर्षों के लिए 4% वार्षिक चक्रवृद्धि ब्याज की दर से यह राशि रुपए 338 हो जाती है। राशि ज्ञात कीजिए। 320 312.5 318.53 315 5 / 205. एक राशि 20% चक्रवृद्धि ब्याज पर 2 वर्ष के लिए निवेशित की जाती है। यदि ब्याज अर्धवार्षिक आधार देय होता है तो इस पर ब्याज के वार्षिक आधार पर देय होने की तुलना में रुपए 482 अधिक प्राप्त होता है। राशि ज्ञात कीजिए। 19500 20000 21800 30000 6 / 206. एक निश्चित राशि, चक्रवृद्धि ब्याज की किसी दर पर दो वर्षों में रुपए 2420 और तीन वर्षों में रुपए 2662 हो जाती है, ब्याज का आंकलन वार्षिक चक्रवृद्धि आधार पर किया गया था। राशि और वार्षिक ब्याज की दर ज्ञात कीजिए। 1000 और 12% 2000 और 10% 2250 और 15% 2500 और 5% 7 / 207. मि० मर्थी एक योजना में रुपए 16000 निवेश किया। वह वयस्क होने पर कितना धन प्राप्त करेगा यदि वह इसे 9 महीने के लिए प्रतिवर्ष 20% चक्रवृद्धि आज की दर से निवेश किया। 18,553 18,521 18,524 18,522 8 / 208. ली और इसे 3 वर्षों के लिए 10% चक्रवृद्धि ब्याज पर निवेश किया। 3 वर्ष बाद उसे रुपए 1952 लाभ प्राप्त हुआ। उसने कितनी धनराशि उधार ली थी? 30000 32000 33000 32543 9 / 209. दो साल के लिए निवेश की गई धनराशि, जिसे 20% वार्षिक दर से, वार्षिक आधार पर चक्रवृद्धि किया जाना है। परिपक्वता पर रुपए 324 बन जाती है। निवेश की गई प्रारंभिक राशि कितनी थी : 240 200 250 225 10 / 2010. जब लगभग 9% प्रतिवर्ष की दर से वार्षिक चक्रवृद्धि ब्याज है तो 2 साल के बाद रुपए 5,000 की राशि कितनी होगी- 5940 9950 5970 5936 11 / 2011. श्याम 8% प्रतिवर्ष, वार्षिक चक्रवृद्धि ब्याज पर 2 वर्षों के लिए रुपए X जमा करता है, जो रुपए 72, 900 है। फिर X का मान क्या है? 60,500 62,000 60,000 62,500 12 / 2012. यदि छमाही चक्रवृद्धि ब्याज पर, 20% वार्षिक की दर से रुपए 10000 निवेश किए जाते हैं, तब 18 माह बाद राशि होगी। 16000 13310 13000 13140 13 / 2013. यदि आपने 40% सालाना ब्याज, जो तिमाही चक्रवृद्धि होगा, पर रुपए 100 का निवेश किया, तो एक साल बाद आपको कितनी राशि प्रात होगी? 148.11 146.41 145.61 149.01 14 / 2014. एक औरत प्रत्येक वर्ष के प्रारम्भ पर रुपए 2000 प्रति वर्ष 5% के चक्रवृद्धि ब्याज के दर पर निवेश करती है। वह दूसरे वर्ष के अन्त में कितने रुपए निवेश करेगी। 4305 430 4355 4350 15 / 2015. एक व्यक्ति 3 वर्ष के लिए 7% वार्षिक चक्रवृद्धि ब्याज की दर से एक बैंक से निश्चित राशि उधार लेता है। यदि वह कुल ब्याज के रूप में रुपए 85,966 का भुगतान करता है, तो उधार ली गई राशि कितनी थी? 462,000 382,000 354,000 428,000 16 / 2016. अर्धवार्षिक रूप से चक्रवृद्धि ब्याज से रुपए 80,000 के 2 वर्ष बाद 20% की वार्षिक दर से कितने रुपये हो जायेंगे? 97,240 117,128 115,200 120,000 17 / 2017. A एक बैंक से निश्चित राशि 8% ब्याज की दर पर लेता है जिसमें ब्याज छमाही में चक्रवृद्धि होता है। यदि उसने डेढ़ वर्ष के पश्चात रुपए 1,96,851 अदा किये तो मूलधन ज्ञात करें। 168,000 175,000 179,000 184,000 18 / 2018. एक निश्चित धनराशि 20% प्रतिवर्ष चक्रवृद्धि ब्याज दर से 2 वर्षों में रुपए 7200 हो जाती है। मूल धनराशि ज्ञात करें- 4800 6000 5400 5000 19 / 2019. प्रकाश एक एफ डी में निवेश करता है। रुपए 13,000 पर 6 महीनो के लिए 20% का वार्षिक चक्रवृद्धि ब्याज से परिक्वता राशि क्या होगी, ब्याज तिमाही संयोजित होता है? 14332.25 14332.5 14332.75 14332 20 / 2020. श्रीमान अखिल ने फिक्स्ड डिपॉजिट में रुपए 13500 जमा किये। 20% वार्षिक चक्रवृद्धि ब्याज की दर पर 6 माह का कुल धन ज्ञात कीजिए यदि ब्याज प्रत्येक तीन माह के लिए संयोजित हो? 14,883.35 14,883.75 14,883.5 14,883 Your score is Facebook 0% Restart quiz